PUEDES GANAR MÁS!
- ¡Próximo préstamo hasta por 500€!
SMARTcredito es:
- Rápido y seguro
- Garantía de
transparencia
- 100 % online
Un importe superior a € está disponible para el segundo préstamo
Promocode applied successfully
-
Importe del préstamo
1500 €
-
Interés
354,5 €
290,25 €
-
Total a devolver
Fecha de devolución to 09.03.2023
1790,25 €
Sociedad:
CIF:
Dirección:
Nº de teléfono de Atención al Cliente:
Correo electrónico:
Página web:
ARENA FINANCE SPAIN S.L.
B44851798
Calle Cuarteles número 40, Edificio Mena, planta 2 puerta 2, 29002 Málaga
919 467 100
info@smartcredito.es
smartcredito.es
Tipo de crédito
Préstamo.
Importe total del credito
Condiciones que rigen la disposición de fondos
Es decir, cómo y cuándo el consumidor obtendrá el dinero.
Una vez perfeccionado el contrato, el Prestamista efectuará una transferencia por el importe del préstamo a la cuenta bancaria titularidad del Prestatario indicada en la Solicitud de Préstamo.
Duración del contrato de crédito
días naturales a contar desde la aprobación de la Solicitud de Préstamo. Cuando la fecha de vencimiento coincida con un día inhábil, el pago deberá efectuarse el día hábil inmediatamente siguiente.
Plazos y orden en que se realizarán los pagos a plazos
El Prestatario deberá satisfacer mediante un único pago la devolución del importe del préstamo, esto es, €, más los intereses y/o gastos, que ascienden €.
El Prestatario abonará dichas cantidades (i) mediante ingreso en cuenta o transferencia bancaria; (ii) a través de cargo en tarjeta de crédito o débito; (iii) por cualquier otro medio de pago que el Prestamista pueda poner a disposición del Prestatario en un futuro.
Los pagos que el Prestatario haya de satisfacer en virtud del Contrato se entenderán realizados una vez que hayan sido recibidos en la cuenta bancaria del Prestamista.
Importe total a pagar
Es decir, el importe del capital prestado más los intereses y posibles gastos relacionados con el crédito.
TIN
%
La fórmula para calcular los intereses sería: (Capital prestado(C) x Días que dura el préstamo (D) x TIN (R)) / 360X100
TAE
TAE: %

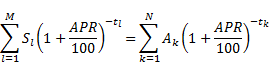
= el número de créditos pagados por el prestamista
= el número de secuencia de los créditos pagados por el prestamista (declinación)
= el crédito (declinación) en el periodo ![]()
= el número total de créditos pagados por el prestatario
= el número de secuencia de los créditos pagados por el prestatario (reembolso)
= el crédito (reembolso) del periodo
, y
y
es el intervalo, expresado en años y fracciones anuales, entre la fecha del primer crédito y la fecha del crédito
o
. (
= 0)
La Tasa Anual Equivalente se ha calculado de acuerdo con la fórmula contenida en el artículo 32 y el anexo I de la Ley 16/2011, de 24 de junio, de Contratos de Crédito al Consumo.
¿Es obligatorio para obtener el crédito en sí, o en las condiciones ofrecidas contratar una póliza de seguros que garantice el crédito, u otro servicio accesorio?
Si los costes de estos servicios no son conocidos del prestamista, no se incluyen en la TAE.
No es obligatorio.
Costes relacionados
Costes en caso de pagos atrasados
La no realización de un pago podrá acarrear graves consecuencias y dificultar la obtención de un préstamo.
Interés de demora: 1,5% diario sobre el principal impagado con el límite máximo del 200% sobre el principal del Préstamo impagado.
Comisión por impago: 20€.
Gastos ocasionados al Prestamista como consecuencia de la gestión de la deuda vencida.
En caso de impago, los datos del Prestatario podrán ser incluidos en los ficheros comunes de solvencia patrimonial y crédito (en particular, de Asnef-Equifax y Badexcug).
Derecho de desistimiento del contrato
El Prestatario tiene derecho a desistir del contrato de préstamo en el plazo de 14 días naturales.
El Prestatario podrá desistir del contrato de préstamo en el plazo de 14 días naturales desde la fecha de aprobación de la Solicitud de Préstamo, sin coste adicional, dirigiendo una notificación por correo postal o electrónico al Prestamista.
El Prestatario deberá reembolsar el capital prestado y el interés acumulado sobre dicho capital entre la fecha de disposición del préstamo y la fecha de reembolso del capital dentro de los treinta días naturales siguientes al envío de dicha notificación.
Reembolso anticipado
El Prestatario tendrá derecho a reembolsar
anticipadamente el importe total o parcial del
préstamo en cualquier momento.
El Prestatario tendrá derecho a reembolsar anticipadamente el importe total o parcial del capital pendiente en cualquier momento siempre que lo comunique con antelación al Prestamista.
En los supuestos de reembolso anticipado total, el Prestamista tendrá derecho a una compensación que no podrá ser superior al 0,5% del importe del principal del Préstamo pendiente de pago.
Consulta de una base de datos
El Prestamista podrá recabar información relativa a los antecedentes crediticios y posiciones de riesgo del Prestatario de entidades prestadoras de servicios de información sobre solvencia patrimonial y crédito (en particular, del Servicio de Crédito de Asnef-Equifax y de Experian/Badexcug).
Derecho a la obtención de un proyecto del contrato de crédito
El Prestatario tendrá derecho, previa petición, a recibir una copia gratuita del proyecto de contrato. Esta disposición no resultará de aplicación si en el momento de la solicitud el Prestamista no estuviese dispuesto a celebrar el contrato con el Prestatario.
Período durante el cual el Prestamista está vinculado por la información precontractual
La información precontractual tendrá un plazo de validez de 14 días naturales desde su entrega.
a) Relativa al Prestamista
Datos de la inscripción del Prestamista en el Registro Mercantil
ARENA FINANCE SPAIN S.L., inscrita en el Registro Mercantil de Málaga, Tomo 6.317, Folio 56, Hoja MA-173454, Inscripción 1ª.
Autoridad de supervisión
La actividad del Prestamista no está sometida a la regulación y supervisión del Banco de España.
b) Relativa al contrato de préstamo
Ejercicio del derecho de desistimiento
El Prestatario dispone de 14 días naturales para desistir del contrato, debiendo notificárselo al Prestamista por correo postal a Calle Cuarteles número 40, Edificio Mena, planta 2 puerta 2 CP 29002, Málaga indicando su nombre, apellidos, N.º de DNI/NIE y N.º de contrato.
El Prestatario deberá reembolsar el capital prestado y el interés acumulado sobre dicho capital entre la fecha de disposición del crédito y la fecha de reembolso del capital dentro de los treinta días naturales siguientes al envío de dicha notificación.
Cláusula sobre la legislación aplicable al contrato de préstamo y/o tribunal competente
El contrato se regirá por la legislación española. El Tribunal competente para cualquier reclamación judicial derivada del mismo será el del domicilio del Prestatario.
Régimen lingüístico
La información y los términos contractuales se facilitan en castellano. Durante la vigencia del contrato y con el consentimiento del Prestatario, la comunicación entre el Prestatario y el Prestamista se realizará en castellano.
c) Relativa al recurso
Existencia y acceso a los procedimientos extrajudiciales de reclamación y recurso
SMARTCREDITO (ARENA FINANCE SPAIN SL) tiene establecido un servicio de Atención al Cliente al que dirigir cualquier queja o reclamación.
-
Préstamo rápidode hasta 400 euros
-
Aceptamos solicitudes de crédito 24/7
-
Asistencia profesional en línea y condiciones de contratación claras
-
Amplia experienciaen el mercado internacional
-
Quick loan up
to 10 000 EUR -
Refinancing
loans -
Accepting
applications 24/7 -
Professional
online support -
First free loan
up to 600 EUR -
Best offers with
Premium profile
-
Realiza la solicitud online
y cofirma tu identidad con un método
de identificación rápido -
Espera a recibir
una decisión automática -
Recibe el dinero
en tu cuenta bancaria
La Sociedad ARENA FINANCE SPAIN SL con C.I.F. nº B44851798, con domicilio social en Calle Cuarteles número 40, edificio Mena, planta 2 puerta 2, CP 29002 Málaga (España). Incorporada por escritura pública de fecha 13 de marzo de 2023, otorgada ante el Notario de Marbella D. Manuel de Churruca y García de Fuentes bajo el nº 1.372 de su protocolo, inscrita en el Registro Mercantil de Málaga, Tomo 6.317, Folio 56, Hoja MA-173454, Inscripción 1ª.
Las Condiciones Generales y las Condiciones Particulares, la información detallada en los artículos 7 y 8 de la Ley 22/2007, de 11 de julio, de Comercialización a Distancia de Servicios Financieros Destinados a los Consumidores, así como la prevista en los artículos 10 y 12 de la Ley 16/2011, de 24 de junio, de Contratos de Créditos al Consumo, según el caso, en el Modelo Normalizado, serán puestas a disposición del prestatario con la antelación suficiente y, en todo caso, con anterioridad a la solicitud del préstamo.
El Modelo Normalizado junto con la información preceptiva de conformidad con los artículos 10 y 12 de la Ley 16/2011 de 24 de junio resultará de aplicación a cualquier relación contractual.
A modo de ejemplo, para un préstamo de € a devolver en días, los intereses serían de €, lo que equivale a una TAE del % y un TIN del %. En caso de impago, la penalización por mora será del 1,5% diario sobre el principal impagado, con un máximo del 200% sobre el principal del préstamo impagado.
Aplazamiento de la fecha de reembolso de un préstamo a corto plazo
Tipos de préstamos online en España
En la actualidad, el acceso a préstamos online en España se ha vuelto cada vez más fácil de obtener. Muchas empresas financieras ofrecen préstamos en línea a través de sus sitios web o aplicaciones móviles. En este artículo, explicaremos los diferentes tipos de préstamos en línea disponibles en España y cómo funcionan.
Préstamos personales online
Los préstamos personales online son una forma de financiamiento que se ha vuelto cada vez más popular en España en los últimos años. Estos préstamos son una opción atractiva para aquellos que necesitan dinero en efectivo de forma rápida y conveniente, ya que el proceso de solicitud y aprobación se realiza en línea. Además, los préstamos personales online no requieren de garantías o avales, lo que los convierte en una opción accesible para una amplia gama de personas.
Una de las principales ventajas de los préstamos personales online es la facilidad con la que se pueden solicitar. Los prestamistas en línea suelen ofrecer una plataforma de solicitud en línea que permite a los solicitantes completar el proceso desde la comodidad de su hogar. Además, la mayoría de los prestamistas en línea tienen requisitos mínimos para la solicitud de préstamos personales, lo que los convierte en una opción para aquellos que no tienen un historial crediticio sólido o no pueden calificar para un préstamo bancario tradicional.
Otra ventaja de los préstamos personales online es la rapidez con la que se puede obtener la aprobación y el desembolso del préstamo. En algunos casos, el proceso de solicitud y aprobación se puede completar en cuestión de minutos, y el dinero puede ser depositado en la cuenta del prestatario en un plazo de 24 a 48 horas. Esto es especialmente útil para aquellos que necesitan dinero en efectivo de forma urgente para hacer frente a una emergencia o un gasto inesperado.
Préstamos rápido a largo plazo
Los préstamos rápidos online son una forma de financiamiento que se ha vuelto cada vez más popular en España en los últimos años. Estos préstamos son una opción atractiva para aquellos que necesitan dinero en efectivo de forma rápida y conveniente, ya que el proceso de solicitud y aprobación se realiza en línea. Además, los préstamos rápidos online suelen tener requisitos de aprobación más flexibles que los préstamos bancarios tradicionales, lo que los convierte en una opción accesible para una amplia gama de personas.
Minicréditos a corto plazo
Una de las principales ventajas de los préstamos rápidos online es la facilidad con la que se pueden solicitar. Los prestamistas en línea suelen ofrecer una plataforma de solicitud en línea que permite a los solicitantes completar el proceso desde la comodidad de su hogar.
Además, la mayoría de los prestamistas en línea tienen requisitos mínimos para la solicitud de préstamos rápidos, lo que los convierte en una opción para aquellos que no tienen un historial crediticio sólido o no pueden calificar para un préstamo bancario tradicional.
En los últimos años, los microcréditos online se han vuelto cada vez más populares como una opción de financiamiento en España. Estos préstamos son ideales para aquellos que necesitan una cantidad de dinero pequeña para cubrir un gasto imprevisto o impulsar un proyecto personal o empresarial. La principal diferencia entre los microcréditos online y otros tipos de préstamos es su monto, ya que generalmente oscilan entre unos pocos cientos hasta unos pocos miles de euros.
Solicitar un microcrédito online es muy fácil gracias a las plataformas de solicitud en línea que ofrecen los prestamistas. Estas plataformas permiten a los solicitantes completar el proceso desde la comodidad de su hogar, sin necesidad de desplazarse a una sucursal física. Además, los requisitos para solicitar un microcrédito online suelen ser mínimos, lo que los convierte en una opción accesible para aquellos que tienen dificultades para obtener préstamos bancarios tradicionales.
Ventajas de los minicréditos en SMARTcredito
Las principales ventajas que podemos ofrecer a nuestros clientes son las siguientes:
- Rápida aprobación: Una de las principales ventajas de los minicréditos es su rápida aprobación. Los prestamistas en línea pueden aprobar y desembolsar el préstamo en cuestión de minutos, lo que es ideal para aquellos que necesitan dinero rápido.
- Pocos requisitos: Los minicréditos suelen tener pocos requisitos para su aprobación. En general, los prestamistas en línea sólo requieren que el solicitante tenga una fuente de ingresos demostrable y una cuenta bancaria activa.
- Sin papeleo: Los minicréditos se pueden solicitar completamente en línea, sin necesidad de presentar documentos en físico. Esto hace que el proceso de solicitud sea más rápido y conveniente para el solicitante.
- Flexibilidad: Los minicréditos suelen ser una opción flexible, ya que el prestatario puede elegir el monto y el plazo de pago que mejor se adapte a sus necesidades y posibilidades económicas.
- Sin aval: A diferencia de otros tipos de préstamos, los minicréditos no requieren una garantía o aval para su aprobación. Esto hace que sean una opción accesible para aquellos que no tienen una propiedad o un aval que puedan poner en garantía.
Resumiendo
La mejor opción que puedes encontrar ahora mismo en el mercado español es obtener un minicrédito a través de SMARTcredito, ya que podemos ofrecerte las mejores ofertas del mercado nacional, con las tasas de intereses más bajas (en muchas ocasiones incluso sin intereses), de una forma rápida con unos requisitos mínimos.
¿A qué estás esperando?